软考备考每日试题(240630)
小羊
2024-06-30 00:01:22每期慧翔天地小编都会附上5~10道软考综合测试题,以帮助大家达到练习的效果,本期软考试题答案会附加在下一期的结尾。大家如果想了解软考考试报考流程、报考时间、报考条件、报考费用、软考报考资格测评等等均可访问站内进行了解。
软考中高项备考刷题交流QQ群:221801769(点击一键加群)
1、合同管理是项目管理中一个重要的组成部分、其中合同()管理是合同管理的基础。
A.索赔
B.履行
C.档案
D.变更
2、某项工程需在室外进行线缆铺设,但由于连续大雨造成承建方一直无法施工,开工日期比计划晚了2周(合同约定持续1周以内的天气异常不属于反常天气),给承建方造成一定的经济损失。承建方若寻求补偿,应当()。
A.要求延长工期补偿
B.要求费用补偿
C.要求延长工期补偿、费用补偿
D.自己克服
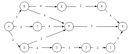
3、下面为某项目规划的进度网络图(单位:周),在实际实施过程中,过程B-E比计划延迟了2周,活动J-K比计划提前了3周,则该项目的关键路径(),总工期是()周。

?。?)
A、A-D-G-I-J-K
B、A-B-F-K
C、A-B-E-H-K
D、A-D-F-K
?。?)
A、15
B、14
C、13
D、12
4、下列关于《软件文档管理指南GB/T 16680-1996》的描述,正确的是()。
A.该标准规定了软件文档分为:开发文档、产品文档和管理文档
B.该标准给出了软件项目开发过程中编制软件需求说明书的详细指导
C.该标准规定了在制定软件质量确保计划时应遵循的统一的基本要求
D.该标准给出了软件完整生存周期中所涉及的各个过程的一个完整集合
5、某活动的工期采用三点估算法进行估算,其中最悲观估算是23天,最乐观估算是15天,最可能的估算是19天,则该活动的历时大致需要(1)天,该活动历是标准差大概是(2)
?。?)A、19
B、23
C、15
D、20
?。?)A、0.7
B、1.3
C、8
D、4
(240629)答案
6、C
7、C
8、A
9、C
10、B




PM、PMP、PMO分别都是什么 以及三者的关系
pmp证书是不是烂大街了
PMP证书在国内挂靠一年多少钱
23个项目管理经典案例——一个成功的项目管理
手把手教你excel项目进度管理表甘特图
pmo是什么职位 有哪些工作职责
PMP十大培训机构哪个好
什么是ACP?ACP的含金量高吗?