软考备考每日试题(241015)
小羊
2024-10-15 09:41:12每期慧翔天地小编都会附上5~10道软考综合测试题,以帮助大家达到练习的效果,本期软考试题答案会附加在下一期的结尾。大家如果想了解软考考试报考流程、报考时间、报考条件、报考费用、软考报考资格测评等等均可访问站内进行了解。
软考中高项备考刷题交流QQ群:221801769(点击一键加群)
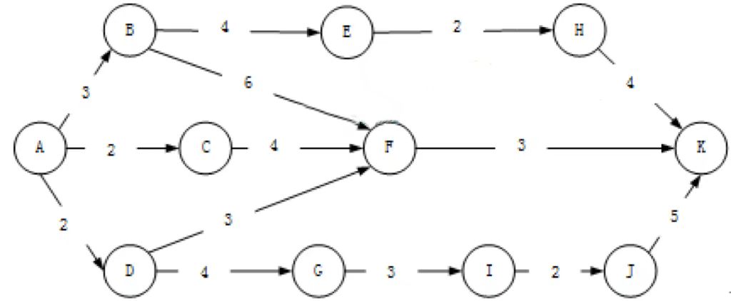
6、下面为某项目规划的进度网络图(单位:周),在实际实施过程中,过程B-E比计划延迟了2周,活动J-K比计划提前了3周,则该项目的关键路径(),总工期是()周。

?。?)
A、A-D-G-I-J-K
B、A-B-F-K
C、A-B-E-H-K
D、A-D-F-K
(2)
A、15
B、14
C、13
D、12
7、()is one of the quality planning outputs.
A.Scope base line
B.Cost of quality
C.Product specification
D.Quality checklist
8、对于软件开发项目来说,基线是软件生存期各个开发阶段的工作成果,测试阶段的基线是()
A、可提交软件
B、被测试的程序
C、提交报告
D、测试报告
9、根据GB/T12504《计算机软件质量确保计划规范》的规定,为了确保软件实现满足要求,所必须的基本文档不包括()。
A.软件需求规格说明书
B.项目实施计划
C.软件验证与确认计划
D.用户文档
10、小王被安排担任A项目的兼职配置管理员,她发现所有项目组成员都跟她一样是兼职的,项目经理没有任何决策权,所有事情都需要请示总经理做决策。这是一个典型的()项目组织结构。
A、职能型
B、项目型
C、弱矩阵型
D、强矩阵型
(241014)答案
1、A
2、A
3、A
4、A
5、C




PM、PMP、PMO分别都是什么 以及三者的关系
pmp证书是不是烂大街了
PMP证书在国内挂靠一年多少钱
23个项目管理经典案例——一个成功的项目管理
手把手教你excel项目进度管理表甘特图
pmo是什么职位 有哪些工作职责
PMP十大培训机构哪个好
什么是ACP?ACP的含金量高吗?