软考备考每日试题(210602)
慧翔天地
2021-06-02 16:23:36软考已经考试结束了,大家可以浏览我们的软考真题栏目观看我们的软考真题以进行估分。
每期慧翔天地小编都会附上5~10道软考综合测试题,以帮助大家达到练习的效果,本期软考试题答案会附加在下一期的结尾。大家如果想了解2021年软考考试报考流程、报考时间、报考要求、软考报考费用、软考成绩查询、软考报考资格测评等等均可访问站内进行了解。
26、关于成本类型的描述。不正确的是()
A、项目团队差旅费、工资、税金、物料及设备使用费为直接成本
B、随着生产量、工作量或时间而变的成本称为变动成本
C、利用一定时间或资源生产一种商品时,便失去了使用这些资源生产其它较佳替代品的机会,称为机会成本
D、沉没成本是一种历史成本,对现有决策而言是不可控成本
27、某大型项目原计划于6个月后交付,目前由于设备故障、人员流失和客户审缓慢导致项目实际进展比计划延迟了1个月,作为项目经理首先应该做的是()
A、对关键路径活动进行分析,评估是否可以进行赶工
B、重新设立进度基线,并对新的进度基线进行评审
C、记录进展缓慢的相关问题,并报告管理层
D、与客户沟通项目延期的可能性
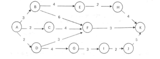
28、下图为某规划的进度网络图(单位:周),在实际实施过程中活动B E比计划延迟了2周,活动J K比计划提前了3周,则该关键路径是(29),总工期是(28)

A、15
B、14
C、13
D、12
29、下图为某规划的进度网络图(单位:周),在实际实施过程中活动B E比计划延迟了2周,活动J K比计划提前了3周,则该关键路径是(29),总工期是(28)
A、A D G I J K
B、A B F K
C、A B E H K
D、A D F K
30、前导图法可以描述四种关键活动类型的依赖关系,对于接班同事A到岗,交班同事B才可以下班的交接班过程,可以用()描述
A、S-F

B、F-F.

C、S-S.

D、F-S

?。?10601)答案
21、答案、A
题目解析、
原有沟通渠道5X4/2=10条
增加成员后沟通渠道变为9X8/2=36
36-10=26。
22、答案、B
题目解析、
X理论主要体现了独裁型管理者对人性的基本判断,这种假设认为:
(1)一般人天性好逸恶劳,只要有可能就会逃避工作。
(2)人生来就以自我为中心,漠视组织的要求。
(3)人缺乏进取心,逃避责任,甘愿听从指挥,安于现状,没有创造性。
(4)人们通常容易受骗,易受人煽动。
(5)人们天生反对改革。
崇尚X理论的管理者认为,在领导工作中必须对员工采取强制、惩罚和解雇等手段,强迫员工努力工作,对员工应当严格监督、控制和管理。在领导行为上应当实行高度控制和集中管理,在领导风格上采用独裁式的领导方式。
只有B选项属于Y理论。
23、答案、D
题目解析、
每项活动可以有超过一个人参与,但负责人只能有一个
24、A
题目解析、
项目延期完工,SV小于零,进度落后。
25、B
题目解析、
三点估算法,(最乐观4最可能最悲观)/6=(8 4 10 12)/6=10





PM、PMP、PMO分别都是什么 以及三者的关系
pmp证书是不是烂大街了
PMP证书在国内挂靠一年多少钱
23个项目管理经典案例——一个成功的项目管理
手把手教你excel项目进度管理表甘特图
pmo是什么职位 有哪些工作职责
PMP十大培训机构哪个好
什么是ACP?ACP的含金量高吗?