深圳蒲友论坛 ,千花网坊论坛上海,广东风楼阁全国信息,长沙后花园419论坛上海龙凤水磨论坛

慧翔天地管理咨询(北京)有限公司
PMI-PMP?
报考条件 报考费用 报考流程 报考时间 成绩查询 证书领取 备考攻略 每日试题
软考
报考条件 报考费用 报考流程 报考时间 成绩查询 证书领取 备考攻略 每日试题
NPDP?
报考条件 报考费用 报考流程 报考时间 成绩查询 证书领取 备考攻略 每日试题
项目管理专业人员评价(CSPM)
报考条件 报考费用 报考流程 报考时间 成绩查询 证书领取 备考攻略 每日试题
PMI-ACP?
报考条件 报考费用 报考流程 报考时间 成绩查询 证书领取 备考攻略 每日试题
当前位置:慧翔天地 > 新闻热点>软考备考每日试题(220527)

软考备考每日试题(220527)

慧翔天地
2022-05-27 16:36:22
  点击量:1347
报考资格在线测评
*
*
立即测评

软考报考测评

       每期慧翔天地小编都会附上5~10道软考综合测试题,以帮助大家达到练习的效果,本期软考试题答案会附加在下一期的结尾。大家如果想了解2022年软考考试报考流程、报考时间、报考要求、软考报考费用、软考成绩查询、软考报考资格测评等等均可访问站内进行了解。

       2022上半年软考明日开考,希望各位考生准备好考试相关物品,以一个较好的状态去迎接考试,祝大家考试顺利。

       软考中高项备考刷题交流QQ群:221801769(点击一键加群)

  1.为使项目管理团队洞察项目的状况,识别需特别关注的任何方面,项目经理应提供()。

  A.风险登记册

  B.工作绩效报告

  C.干系人风险承受度

  D.进度管理计划

  2.()属于事业环境因素。

  A.配置管理知识库

  B.变更控制程序

  C.项目档案

  D.项目管理信息系统

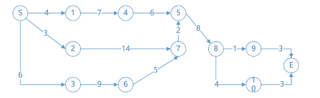
  项目经理为某政府网站改造项目制作了如下双代号网络图(单位:天),该项目的总工期为()天。在项目实施的过程中,活动2-7比计划提前了2天,活动8-10实际工期是3天,活动6-7的工期增加了3天,判断对项目总工期的影响:()。

image.png

  3.A.40

  B.37

  C.34

  D.32

  4.A.没有影响

  B.增加了2天

  C.增加了3天

  D.增加了4天

  5.关于需求管理的描述,正确的是:()。

  A.需求管理包括在产品生存周期中维持需求一致性和精准性的所有活动

  B.从测试用例和测试报告的描述中追踪到用户原始需求的过程是正向追踪

  C.需求文件之间的跟踪用于检查需求分解中可能出现的错误或遗漏

  D.需求跟踪矩阵中可以不体现测试策略和测试场景的跟踪结果

       软考备考每日试题(220526)点击跳转

 ?。?20526)答案

  1.参考答案:D

  创建WBS是将项目可交付成果和项目工作分解成较小的.更易于管理的组件的过程,其主要作用是对所要交付的内容提供一个结构化的视图。WBS是以可交付成果为导向的工作层级分解,其分解的对象是项目团队为实现项目目标.提交所需可交付成果而实施的工作。WBS每下降一个层次就意味着对项目工作更详尽的定义。WBS组织并定义项目的总范围,代表着现行项目范围说明书所规定的工作。

  WBS层次

  2.参考答案:C

  范围控制的工具就是偏差分析,偏差分析是一种确定实际绩效与基准的差异程度及原因的技术。

  3.参考答案:D

  媒介。用来传递信息的方法。微信群是一种媒介。

  编码。把思想或想法转化为他人能理解的语言。

  噪声。干扰信息传输和理解的一切因素(如距离.新技术.缺乏背景信息等)。

  解码。把信息还原成有意义的思想或想法。

  沟通模型

  4.参考答案:B

  沟通制约因素,通常来自特定的法律法规.技术要求和组织政策等。

  规划沟通管理(输出)

  5.参考答案:A

  控制干系人参与:输出

  1)工作绩效信息

  2)变更请求

  3)项目管理计划更新

  4)项目文件更新

  5)组织过程资产更新

  控制干系人参与

?