软考备考每日试题(221017)
慧翔天地
2022-10-17 17:06:59每期慧翔天地小编都会附上5~10道软考综合测试题,以帮助大家达到练习的效果,本期软考试题答案会附加在下一期的结尾。大家如果想了解2022年软考考试报考流程、报考时间、报考要求、软考报考费用、软考成绩查询、软考报考资格测评等等均可访问站内进行了解。
软考中高项备考刷题交流QQ群:221801769(点击一键加群)
36、某公司在教育服务领域持续发展,已有丰富的项目经验,近日新立项的教育服务项目A需要规划质量管理,则应采用()的方法。
A、成本收益分析法
B、质量成本法
C、标杆对照法
D、实验设计
37、关于质量确保和质量控制的描述,不正确的是()。
A、质量确保是为了满足质量目标而做的前瞻性行为
B、质量控制监督并记录质量活动的执行结果
C、质量确保是确保采用合理的质量标准和操作性定义的过程
D、质量确保和质量控制的对象都是项目的可交付成果
38、软件项目的质量,主要用()和软件测试两种方法配合使用来确保。
A、技术评审
B、用户试用
C、流程外包
D、迭代开发
39、某软件技术公司,主营业务为软件项目研发和交付,公司项目经理均为软件项目经理。为扩大发展,公司承接了一个技术改造项目,涉及到硬件的升级和更新及相关软件的开发和部署。关于新项目经理的人选,合适的是()。
A、从现有软件项目经理中挑选任命,在新项目中锻炼一下
B、从现有的软件项目经理中挑选,脱产学习半年后任命
C、对外招聘一位有软硬件项目经验的项目经理
D、设置2个项目经理,软件部分从现有的软件项目经理遴选,硬件部分由公司老总担任
40、项目经理为了使团队高效运行并达成项目目标,可采用的方式不包括()。
A、提高项目要求并增加每日工作时长,刺激成员创新
B、每周组织一次知识分享,提高团队成员的知识和技能
C、每日组织站会,及时收集成员遇到的问题,协作解决
D、不定期组织聚餐和团建活动,增加团队凝聚力
?。?21014)答案
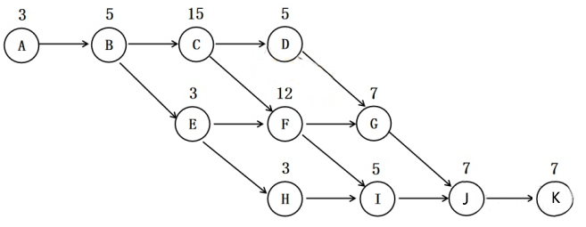
31、32【答案】CC。解析:首先画出项目进度网络图:

关键路径是ABCFGJK,工期是56天。用户提出需求变更,导致迭代3的代码编写的持续时间增加了5天,即I活动的持续时间增加了5天,因为I活动有2天的总时长,所以即使I活动增加5天,但对项目的整体持续时间影响也只有3天。
33、【答案】B。
解析:活动持续时间=(5+17+4*14)/6=13天,标准差=(17-5)/5=2天,
11-15天正好是一个标准差,一个标准差内完成的概率是68.26%,所以选择B。
34、【答案】B。
解析:项目资金需求是根据成本基准,确定总资金需求和阶段性(如季度或年度)资金需求,而不是根据资金投入计算出的成本预算,B错误。
35、【答案】A。
解析:首先要理解图表中的已知条件:
图表里的PMB绩效测量基准,相当于总预算。
图表里的PV列,相当于在当前的时间节点观测,按照计划应该按完成工作的多少。
例如A活动,总预算是20万元,在当前时间节点,按照计划应该已经完成20万元。
例如B活动,总预算是15万元,在当前时间节点,按照计划应该已经完成5万元。
例如B活动,总预算是7万元,在当前时间节点,按照计划还没有开始。
那么计算挣值时,完成百分比,当然是针对每个活动的总预算来说的,而不是当前时间节点应该完成多少。
PV=25,AC=26,EV=20*100%+15*50%=27.5,EV>PV,EV>AC,所以成本节约,进度提前。





PM、PMP、PMO分别都是什么 以及三者的关系
pmp证书是不是烂大街了
PMP证书在国内挂靠一年多少钱
23个项目管理经典案例——一个成功的项目管理
手把手教你excel项目进度管理表甘特图
pmo是什么职位 有哪些工作职责
PMP十大培训机构哪个好
什么是ACP?ACP的含金量高吗?