软考备考每日试题(230226)
小羊
2023-02-24 10:14:57每期慧翔天地小编都会附上5~10道软考综合测试题,以帮助大家达到练习的效果,本期软考试题答案会附加在下一期的结尾。大家如果想了解2023年软考考试报考流程、报考时间、报考要求、软考报考费用、软考成绩查询、软考报考资格测评等等均可访问站内进行了解。
软考中高项备考刷题交流QQ群:221801769(点击一键加群)
6、当前,人工智能细分领域涌现出大批专业型深度学习框架,其中()擅长自然语言处理。
A、ROS
B、OpenCV
C、NLTK
D、ARToolKit
7、数据分析师在数据治理的()阶段,对业务进行分析,并应用业务据点的方法分析并获取所需要的数据。
A、数据存储与管理
B、数据应用
C、数据脱敏
D、数据规划
8、国务院国资委办公厅2020年8月发布的《关于加快推进国有企业数字化转型工作的通知》中提出四个转型的方向,其中“探索平台化,集成化,场景化增值服务”属于推进()的内容。
A、产品创新数字化
B、生产运营智能化
C、用户服务敏捷化
D、产业体系生态化
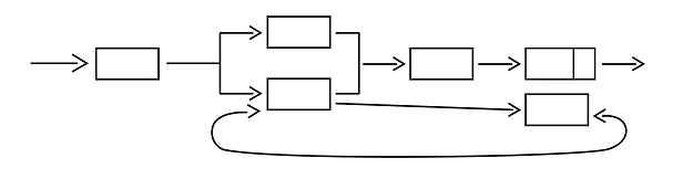
9、图中的软件架构设计属于()风格。

A、虚拟机风格
B、调用、返回风格
C、独立构件风格
D、数据流风格
10、CMMI的项目管理类过程域不包含()。
A、配置管理
B、量化项目管理
C、项目监督与控制
D、风险管理
(230225)答案
1、【试题解析】
通过题干给出的信息「推动政务信息化共建」、「推动构建网络安全空间」等关键词可知属于数字化的内容??疾榈氖鞘奈骞婊南喙刂丁?/p>
《中国国民经济和社会发展第十四个五年规划和2035年远景目标纲要》中明确指出:“迎接数字时代,激活数据要素潜能,推进网络强国建设,加快建设数字经济、数字社会、数字政府,以数字化转型整体驱动生产方式、生活方式和治理方式变革?!敝泄チ戳舜有畔⒖萍际贝胧挚萍际贝睦坊?,在数字化发展的必然趋势下,如何高效获取用户、如何精准掌握数据、如何打通管理流程,成为了企业在当下所面临的主要问题。
【参考答案】B
2、【试题解析】
考查的是面向服务的相关知识。
面向服务方法是在面向对象方法的基础上扩展的构建系统的思想和方法。
面向服务方法关注的是企业业务,它直接映射到业务,强调IT与业务的对齐,以服务为核心元素来封装企业的业务流程和企业已有应用系统。服务的粒度更大,更加匹配企业级应用中的业务,可以实现更高级别的重用。
【参考答案】D
3、【试题解析】
如果对这题给出的几个选项不了解,根据题干描述「大规模互联网用户群体资源进行有效管理」、「实现智能较大化」可知是群智协同计算,答案往往在题干中。
考查的是群智协同计算的相关知识。
在基础理论方面,群体智能理论重点突破群体智能的组织、涌现、学习的理论与方法,建立可表达、可计算的群智激励算法和模型,形成基于互联网的群体智能理论体系;在关键技术方面,重点突破基于互联网的大众化协同、大规模协作的知识资源管理与开放式共享等技术,建立群智知识表示框架,实现基于群智感知的知识获取和开放动态环境下的群智融合与增强,支撑覆盖全国的千万级规模群体感知、协同与演化。
【参考答案】A
4、【试题解析】
高级教程第三版P39。考查的是可用性的相关知识。
错误检测:用于错误检测的战术包括命令/响应、心跳和异常。
错误恢复:用于错误恢复的战术包括表决、主动冗余、被动冗余。
错误预防:用于错误预防的战术包括把可能出错的组件从服务中删除、引入进程监视器。
【参考答案】C
5、【试题解析】
考查的是《关键信息基础设施安全保护条例》的相关知识。
第十七条运营者应当自行或者委托网络安全服务机构对关键信息基础设施每年至少进行一次网络安全检测和风险评估,对发现的安全问题及时整改,并按照?;すぷ鞑棵乓蟊ㄋ颓榭觥?/p>
【参考答案】B





PM、PMP、PMO分别都是什么 以及三者的关系
pmp证书是不是烂大街了
PMP证书在国内挂靠一年多少钱
23个项目管理经典案例——一个成功的项目管理
手把手教你excel项目进度管理表甘特图
pmo是什么职位 有哪些工作职责
PMP十大培训机构哪个好
什么是ACP?ACP的含金量高吗?