深圳蒲友论坛 ,千花网坊论坛上海,广东风楼阁全国信息,长沙后花园419论坛上海龙凤水磨论坛

慧翔天地管理咨询(北京)有限公司
PMI-PMP?
报考条件 报考费用 报考流程 报考时间 成绩查询 证书领取 备考攻略 每日试题
软考
报考条件 报考费用 报考流程 报考时间 成绩查询 证书领取 备考攻略 每日试题
NPDP?
报考条件 报考费用 报考流程 报考时间 成绩查询 证书领取 备考攻略 每日试题
项目管理专业人员评价(CSPM)
报考条件 报考费用 报考流程 报考时间 成绩查询 证书领取 备考攻略 每日试题
PMI-ACP?
报考条件 报考费用 报考流程 报考时间 成绩查询 证书领取 备考攻略 每日试题
当前位置:慧翔天地 > 新闻热点>软考备考每日试题(230304)

软考备考每日试题(230304)

小羊
2023-03-03 10:18:23
  点击量:1094
报考资格在线测评
*
*
立即测评

软考报考测评

       每期慧翔天地小编都会附上5~10道软考综合测试题,以帮助大家达到练习的效果,本期软考试题答案会附加在下一期的结尾。大家如果想了解2023软考考试报考流报考时间、报考要求软考报考费用、软考成绩查询软考报考资格测评等等均可访问站内进行了解。


       软考中高项备考刷题交流QQ群:221801769(点击一键加群)


  36、某项目按工作量平均分配到10个月完成,每月成本相同,项目管理储备15万元。在项目进行到第三个月末时,项目实际花费为BAC的30%,完成总工作量的20%,如果不加以纠偏,根据当前进度,项目完工估算为120万元,则项目总预算为()万元。


  A、80


  B、85


  C、90


  D、95


  37、四个项目甲、乙、丙、丁的工期均是四年,在前列年末时,各项目进度数据如下表所示,则最有可能在按时完工的同时并能更好控制成本的项目是()。


软考试题.png


  A、甲


  B、乙


  C、丙


  D、丁


  38、规划质量管理的目的是()。


  A、准备对策,确保符合质量要求


  B、建立对未来输出在完工时满足特定需求和期望的信心


  C、评估绩效


  D、确保项目满足承诺的需求


  39、实施质量确保的主要作用是()。


  A、明确项目的质量意识和质量需求


  B、把质量目标分解落实到各部门及项目全体成员


  C、促进质量过程改进


  D、识别过程低效或产品质量低劣的原因


  40、关于质量控制的描述,不正确的是()。


  A、该过程所产生的数据为质量确保过程所用


  B、工作绩效数据是该过程的输入


  C、质量控制是审计质量要求


  D、确认的变更是该过程的输出


软考备考每日试题(230303)点击跳转


      (230303)答案


  31、【试题解析】


  高级教程第三版P245。


  每个人对项目范围所关注的方面是不同的。


 ?。?)管理层所关注的项目范围,是指范围对项目的进度、资金和资源的影响,这些因素是否超过了组织承受范围,是否在投入产出上具有合理性。


  (2)客户主要关心的是产品的范围,关心项目的可交付成果是否足够完成产品或服务。


  (3)项目管理人员主要关注可交付成果是否足够和必须完成,时间、资金和资源是否足够,主要的潜在风险和预备解决的方法。


  (4)项目团队成员主要关心项目范围中自己参与的元素和负责的元素,通过定义范围中的时间检查自己的工作时间是否足够,自己在项目范围中是否有多项工作,而这些工作又有冲突的地方。


  【参考答案】B


  32、【试题解析】


  高级教程第三版P273。


  开始-开始(S-S型)关系,前序活动开始后,后续活动才能开始。


  【参考答案】C


  33、【试题解析】


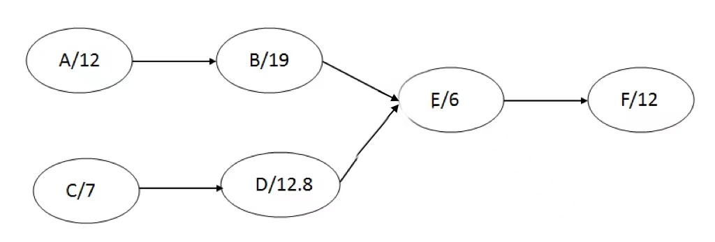
  此题考察了三点估算和正态分布,正态分布属于特殊的β分布。


  期望工期=(最乐观时间+4×最可能时间+最悲观时间)/6,根据此公式计算出A、B、C、D、E、F的期望工期,分别为:A=12,B=19,C=7,D=12.8,E=6,F=12。


  根单代号网络图找出项目关键路径,关键路径为A-B-E-F,项目工期为12+19+6+12=49天,标准差为3.2天,那项目工期在(49-3.2×2,49+3.2×2),即(42.6,55.4)的概率为95%。所以答案为A。


软考试题.jpg


  【参考答案】A


  34、【试题解析】


  考查的是总时差的相关知识。


  关键路径上的总时差为0,题干网络图中ADEH是关键路径,E活动在关键路径上,所以不能拖延,否则会导致工期被延长。


  【参考答案】A


  35、【试题解析】


  考查的是PERT的相关知识。


  三角分布:期望值=(乐观+最可能+悲观)/3=(105+最可能+悲观)/3=94


  β分布:期望值=(乐观+4*最可能+悲观)/6=(105+4*最可能+悲观)/6=94.5


  根据上面两个等式,解这组二元一次方程,可以求出最可能是95,悲观是82。


  【参考答案】C


?