深圳蒲友论坛 ,千花网坊论坛上海,广东风楼阁全国信息,长沙后花园419论坛上海龙凤水磨论坛

慧翔天地管理咨询(北京)有限公司
PMI-PMP?
报考条件 报考费用 报考流程 报考时间 成绩查询 证书领取 备考攻略 每日试题
软考
报考条件 报考费用 报考流程 报考时间 成绩查询 证书领取 备考攻略 每日试题
NPDP?
报考条件 报考费用 报考流程 报考时间 成绩查询 证书领取 备考攻略 每日试题
项目管理专业人员评价(CSPM)
报考条件 报考费用 报考流程 报考时间 成绩查询 证书领取 备考攻略 每日试题
PMI-ACP?
报考条件 报考费用 报考流程 报考时间 成绩查询 证书领取 备考攻略 每日试题
当前位置:慧翔天地 > 新闻热点>软考备考每日试题(230725)

软考备考每日试题(230725)

小羊
2023-07-25 09:48:10
  点击量:876
报考资格在线测评
*
*
立即测评

软考报考测评

       每期慧翔天地小编都会附上5~10道软考综合测试题,以帮助大家达到练习的效果,本期软考试题答案会附加在下一期的结尾。大家如果想了解2023软考考试报考流、报考时间报考要求、软考报考费用、软考成绩查询、软考报考资格测评等等均可访问站内进行了解。

       软考中高项备考刷题交流QQ群:221801769(点击一键加群)

  46、()属于规划项目进度过程的输出。


  A.项目管理计划


  B.项目章程


  C.事业环境因素


  D.控制临界值


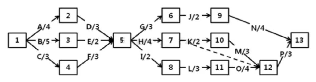
  47、某项目的双代号网络图如下所示,该项目的工期为()。


pmp试题.jpg


  A.17


  B.18


  C.19


  D.20


  48、关于制定进度计划的工具和技术的描述,不正确的是:()。


  A.总浮动时间等于本活动的最迟完成时间减去本活动的最早完成时间


  B.自由浮动时间等于紧后活动的最早开始时间的最小值减去本活动的最早完成时间


  C.资源平滑技术通过缩短项目的关键路径来缩短完工时间


  D.关键路径上活动的总浮动时间和自由浮动时间都为0


  49、()属于控制进度的工作内容。


  A.确定完成项目工作所需花费的时间量


  B.确定完成项目工作所需的资源


  C.确定工作之间的逻辑关系


  D.确定是否对工作进度偏差采取纠正措施


  50、成本分类是指根据成本核算和成本管理的不同要求,将成本分成不同的类别。其中,项目团队差旅费、工资属于()。


  A.直接成本


  B.沉没成本


  C.固定成本


  D.机会成本


软考备考每日试题(230724)点击跳转


      (230724答案


  41、【试题解析】


  每一个记入文件的变更申请必须由项目管理团队内部的有权者,或者代表某一外部组织的发起人、赞助人或顾客认可或否决。许多时候,整体变更控制过程包括一个负责批准或否决变更请求的变更控制委员会。配置控制与变更控制程序明确规定了这些委员会的角色与责任,并得到了赞助人、顾客和其他项目干系人的同意。许多大组织设立了多层次变更控制委员会的结构,分清了各委员会的责任。如果项目是根据合同进行的,则提出的某些变更必须由顾客批准。项目经理也可以批准变更。D错误。


  【参考答案】D


  42、【试题解析】


  变更控制委员会(CCB)是一个正式的组织,负责审查、评价、批准、推迟或否决项目变更。CCB由项目所涉及的多方人员共同组成,通常包括甲方和乙方的决策人员。


  项目经理可以是CCB成员之一,但通常不是组长。B错误。


  【参考答案】B


  43、【试题解析】


  工作分解结构的编制需要所有项目干系人的参与,需要项目团队成员的参与。各项目干系人站在自己的立场上,对同一个项目可能编制出差别较大的工作分解结构。项目经理应该发挥“整合者”的作用,组织他们进行讨论,以便编制出一份大家都能接受的工作分解结构。


  WBS的制定由项目团队主要完成,D错误。


  【参考答案】D


  44、【试题解析】


  1、相对多数原则:根据群体中相对多数者的意见做出决策,即便未能获得大多数人的支持。通常在候选项超过两个时使用。


  2、一致同意:每个人都同意某个行动方案。达成一致同意的一种方法就是德尔菲技术,由一组选定的专家回答问卷,并对每轮需求收集的结果给出反馈。只有主持人可以看到专家的答复,以保持匿名状态。


  3、大多数原则:获得群体中超过50%人员的支持,就能做出决策。把参与决策的小组人数定为奇数,防止因平局而无法达成决策。


  4、独裁:在这种方法中,由某一个人为群体做出决策。


  【参考答案】C


  45、【试题解析】


  很多时候,项目经理会面对来自客户等项目干系人一系列变化要求。由于这些人都属于客户范围,所以他们的要求通常都被认为是应当被接受的。实际上这是一种错误认识。客户通常只能提出范围变化的要求,但却没有批准的权力。即使是项目经理也没有批准的权力。真正拥有这种权力的只有一个人,那就是这个项目的投资人(除非该资助人已经授权给了他人)。很多项目会遇到麻烦,就是因为大家都以为项目范围的变化能够得到批准,而事实上真正拥有决定权的投资人有时并不同意这样做。


  不少人可能会选择C,因为通常认为CCB可以审批基准的变更,不过题干是说明“真正具备批准权力的人”,所以这题严格按教材来,应该选择D更准确。


  【参考答案】D


?