PMP备考每日试题(200407)
慧翔天地
2020-04-07 11:58:36受疫情影响,慧翔天地目前面授班皆转为直播+录播形式进行授课,由于外专局公布取消六月份PMP考试报名,且PMP考试改版也推迟到2021年,因此九月份报名人数肯定是非常之多,毕竟少了一次考试,所以我们一定要提前报名,否则可能连英文报名都报不上了,届时只能参加12月考纲改版前的最后一次考试了。大家在注意自身安全的同时要密切关注慧翔天地官网,一旦6月份PMP考试时间进行了变动,小编会前列时间公布在官网。
每期慧翔天地小编都会附上10~15道PMP综合测试题,以帮助大家达到练习的效果,本期PMP试题答案会附加在下一期的结尾。大家如果想了解2020年PMP考试报考流程、报考时间、报考要求、PMP报考费用、PMP考试地点、PMP成绩查询、PMP报考资格测评等等均可访问站内进行了解。
151:当项目接近完工时:
As a project approaches completion:
A:就不再需要风险管理
Risk management is no longer needed
B:变更成本一般会增加
The cost of changes typically increase
C:高风险项的有能性会增加
The probability of high-risk items increases
D:不再需要应急储备
Contingency reserves are no longer needed
152:客户要求新产品必须尽快推向市场,客户要求项目经理进一步压缩项目进度,项目经理接下来应该怎么做?
The customer requests the new product to be on the market as soon as possible,the customer asks the project manager to further compress the project progress,what should the project manager do next?
A:告知客户进度无法更改
Informing the customer that the progress cannot be changed
B:要求客户提交变更请求
Request a customer to submit a change request
C:修订关键路径并将新进度通知团队
Revise critical paths and notify the team of new progress
D:协商变更范围,并压缩进度
Negotiate the scope of changes and compress progress
153:项目经理被要求为两个潜在项目执行成本效益分析。项目A成本为$12亿美元,潜在效益为$60亿美元,未来运营成本为$15亿美元;项目B成本为$14亿美元,潜在效益为$70亿美元,未来运营成本为$1亿美元。项目经理应该推荐哪一个项目?
A project manager is asked to perform a cost-benefit analysis for two potential Project A costs US$1.2billion.With potential benefits of US$6 billion and future US$1.5 billion.Project B costs US$1.4 billion,with potential benefits of US$7 billion and future US$1 billion.Which
project should the project manager recommend?
A:项目B;因为潜在效益减去执行成本所得的值大于项目A所得值。
Project B;the potential benefits minus the costs to implement are greater calculation for project
B:项目A;因为执行成本低于项目B。
Project A;the cost to implement is less than project
C:项目B;因为潜在效益减去执行成本和未来运营成本所得的值大于项目A。
Project B;the potential benefits minus the implementation and future greater than the same calculation for project A.
D:项目A;因为潜在效益加上未来运营成本所得的值小于项目B所得值。
Project A;the potential benefits plus the future operating costs are less than calculation for project B.
154:项目经理与项目相关方开会,收集需求并制作项目需求文档。项目经理下一步该怎么做?
The project manager meets with the stakeholders,gathers requirements,and develop the project requirement documentation.What should the project manager do next?
A:制定需求基准,并获得关键关系人的批准
Baseline the requirement and obtain key stakeholders approve
B:与团队一起创建工作分解结构
Create the work breakdown structure with team
C:准备一份详细的项目范围说明书
Prepare a detailed project scope statement
D:制定项目管理计划
Develop a project management plan
155:风险评估师在哪一个项目风险管理过程中执行的?
During which project risk management process is risk assessment performed?
A:制定风险管理计划
Plan Risk Management
B:识别风险
Identify Risks
C:开展定性风险分析
Perform Qualitative Risk Analysis
D:规划风险应对
Plan Risk Responses
156:在项目评审会上,从事活动AD的项目团队成员通知项目经理,完成该活动还需要三天,组织的高级经理要求项目经理,即使需要额外的预算,也必须找到方法,按原定基准计划支付项目。项目应该使用什么方法来满足高级经理的需求?(图)

During a project review meeting,the project team member working on activity AD advises the project manager that it will take three more days to complete the activity.The organization's senior manager asks the project manager to find ways to deliver the project according to the original baseline plan,even though it may need additional budget.What should the project manager use to meet the senior manager's needs?
A:使用快速跟进
Use fast tracking
B:使用赶工
Use fast crashing
C:应用关键链法
Apply critical chain method
D:应用时间提前量和时间滞后量
Apply leads and lags
157:你决定要在公司中组建一个PMP考试的学习小组,邀请公司内部其他的项目经理一起参加,以此帮助大家更好地准备这次考试。由于公司总经理已经决定要奖励每个通过考试的人5000美元,所以每个人都有了很强的动力要通过考试。那么,在组织这个学习小组的过程中你要采用什么类型的沟通方式呢?
You have decided to organize a study group of other project managers in your organization to help prepare for the PMP exam.Everyone is highly motivated to earn the credential because the CEO has decided to pay a¥5,000 bonus to each person who becomes certified.What type of communication are you employing in your efforts to organize this group?
A:横向沟通
Horizontal
B:向下沟通
Vertical
C:正式沟通
Formal
D:外部沟通
External
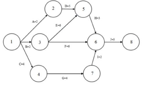
158:这个图中的关键路径是什么?

In this diagram,what is the critical path?
A:B-F-J
B-F-J
B:B-E-H-J
B-E-H-J
C:B-D-H-J
B-D-H-J
D:C-G-I-J
C-G-I-J
159:项目经理完成了项目章程。项目经理需要做的下一个活动是什么?
The project manager completes the project charter.What is the next activity the project manager needs to do?
A:创建详细的相关方登记册
Create Detailed stakeholder register
B:创建需求文件
Create requirements documentation
C:创建相关方管理策略
Create stakeholder management strategy
D:创建质量管理计划
Create quality management plan
160:项目经理完成了一个需要从当地供应商采购设备的大型项目。下
列哪一项活动能发生在结束采购过程中?
A project manager completes a large project that requires equipment purchases from a local vendor.Which of the following activities would occur in the close Procurement’s process?
A:更新采购管理计划
Updating the procurement management plan
B:更新合同条款和调节
Updating the terms and conditions of contract
C:合同文档存档
Archiving the contract documentation
D:项目管理计划存档
Archiving the project management plan
?。?00403)答案
141、正确答案:C
解析:风险管理,识别风险。识别风险后,制订风险登记册,记录风险根本原因以及潜在的应对措施,11.2.3.1识别风险的输出包括潜在风险应对措施清单
142、正确答案:B
解析:所有变更请求都必须以书面形式记录,并纳入变更管理/配置管理系统中,由变更管理控制系统和配置控制系统中所列的过程进行处理。附带整体变更控制功能的配置管理系统可以提供标准化、效果好和效率高的方式来集中管理已批准的变更和基准。题目中,当项目出现了变更请求,项目经理还要组织团队会议讨论如何做变更,而不是通过变更控制系统来进行变更,说明缺乏变更控制系统。
143、正确答案:B
解析:参考PMBOK第6版中9.4团队建设活动-团队建设的5个阶段。
144、正确答案:B
解析:9.1.3.2团队章程团队章程对项目团队成员的可接受行为确定了明确的期望。尽早认可并遵守明确的规则,有助于减少误解,提高生产力;讨论诸如行为规范、沟通、决策、会议礼仪等领域,团队成员可以了解彼此重要的价值观。由团队制定或参与制定的团队章程可发挥较佳效果。所有项目团队成员都分担责任,确保遵守团队章程中规定的规则。
145、正确答案:A
解析:相关方管理计划为有效调动相关方参与而规定所需的管理策略。
146、正确答案:C
解析:组织结构第2章项目生命周期与组织强矩阵型中项目经理的职权为中高级。项目型组织中项目经理的职权是大到几乎全权。指南-2.4.4.1组织结构类型-表2-1组织结构对项目的影响。
147、正确答案:D
解析:因果图,又称鱼骨图或石川图。问题陈述放在鱼骨的头部,作为起点,用来追溯问题来源,回推到可行动的根本原因。在问题陈述中,通常把问题描述为一个要被弥补的差距或要达到的目标。通过看问题陈述和问“为什么”来发现原因,直到发现可行动的根本原因,或者列尽每根鱼骨上的合理可能性。要在被视为特殊偏差的不良结果与非随机原因之间建立联系,鱼骨图往往是行之有效的。
148、正确答案:C
解析:PMBOK 4.3指导与管理项目工作:为实现项目目标而执行项目管理计划中确定的工作。顺序应为A-题干(规划)-C-D-B
149、正确答案:B
解析:见PMBOK6/11.2.2.1/专家判断。项目经理应选择相关专家,邀请他们根据以往经验和专业知识指出可能的风险。
150、正确答案:B
解析:如果团队成员服从其职能组织而不是项目团队,那么团队成员会更难激励。






PM、PMP、PMO分别都是什么 以及三者的关系
pmp证书是不是烂大街了
PMP证书在国内挂靠一年多少钱
23个项目管理经典案例——一个成功的项目管理
手把手教你excel项目进度管理表甘特图
pmo是什么职位 有哪些工作职责
PMP十大培训机构哪个好
什么是ACP?ACP的含金量高吗?